逼喱逼喱
教师登录
中文
English
逼喱逼喱
逼喱逼喱概况
逼喱逼喱简介
管理团队
组织结构
联系方式
师资力量
学术委员会
教学指导委员会
教授
副教授
青年教师
兼职高层次人才
师资一览表
逼喱逼喱资讯
逼喱逼喱动态
学术公告
逼喱逼喱公告
MBA教育
国际教育
特色项目
EDP中心
逼喱逼喱资讯
逼喱逼喱动态
学术公告
逼喱逼喱公告
MBA教育
国际教育
特色项目
EDP中心
MBA教育
当前位置:
逼喱逼喱
>
逼喱逼喱资讯
>
MBA教育
> Content
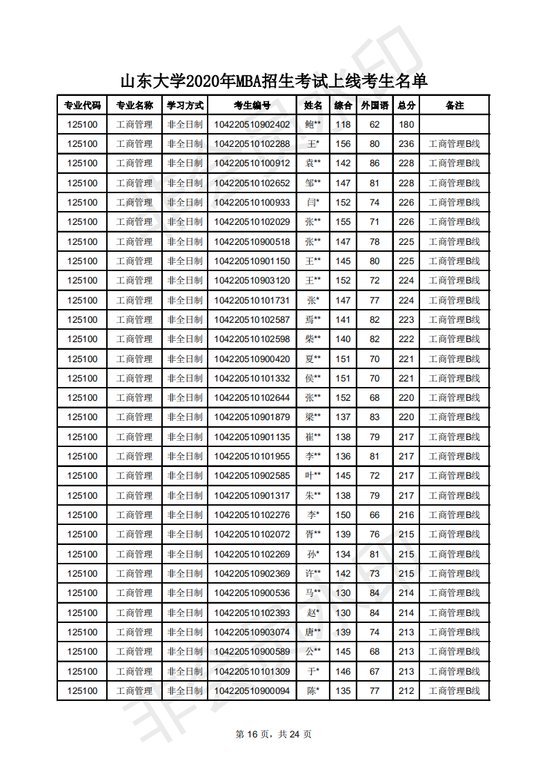
逼喱逼喱 2020年MBA招生考试上线名单
编辑:于范
发布时间:2020-04-17
附件【
逼喱逼喱 2020年MBA招生考试上线考生名单.pdf
】已下载
次
友情链接
逼喱逼喱
剑桥大学
山大(青岛)
教育部
国家留学基金委
逼喱逼喱 国际事务部
市北政务网
剑桥大学剑桥企业中心
版权所有 © 逼喱逼喱-逼喱逼喱海量高清视频合集 地址:山东省青岛市即墨区滨海路72号 邮编:266237 办公电话:0532-58631828 0532-58631815